7 -5

»ó ¹Ý ¹æ Á¤ ½Ä

 

¤·  »ó¹Ý¹æÁ¤½Ä ; °¡¿îµ¥ Ç×À» ±âÁØÀ¸·Î ¾ç ÂÊÀÌ ´ëĪÀ» ÀÌ·ç´Â ¹æÁ¤½ÄÀÔ´Ï´Ù.

     4Â÷ ¹æÁ¤½ÄÀ» °æ¿ì¿¡ ´ÙÀ½°ú °°Àº ÇüŸ¦ °¡Áý´Ï´Ù.

       A x 4   + B x 3     + C x  2     + B x  + A  = 0

 

¤· »ó¹Ý¹æÁ¤½ÄÀº ´ÙÀ½°ú °°ÀÌ Ç±´Ï´Ù.

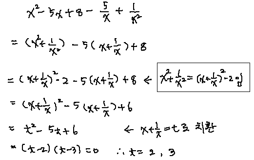
    1. ¾çº¯À» x 2  À¸·Î ³ª´«´Ù.

    2.  x  + 1/x  ¸¦  t ·Î ġȯÇÏ¿© ÀμöºÐÇØÇÑ´Ù.

 

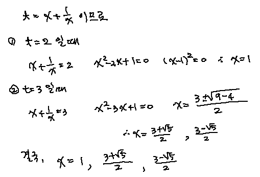
¹®1]   x 4  - 5 x3   + 8 x2   - 5 x   + 1  = 0  À» Ǫ½Ã¿À.

Ç®ÀÌ] ¾çº¯À»  x 2  À¸·Î ³ª´¯´Ï´Ù.  ±×¸®°í ½ÄÀ» Âß Á¤¸®ÇØ º¸¸é ´ÙÀ½°ú °°¾Æ¿ä

.

°è¼ÓÇØ¼­ °è»êÇØ º¸¸é